Melatonin
Arzneimittelgruppen
HormoneMelatonin ist ein Wirkstoff aus der Gruppe der Neurohormone, der als Arzneimittel für die Behandlung von Schlafstörungen zugelassen ist. Es handelt sich um ein natürliches Hormon der Epiphyse des Gehirns, das in der Nacht ausgeschüttet wird und eine wichtige Rolle bei der Steuerung des zirkadianen Rhythmus und des Schlafs spielt. Melatonin hat schlaffördernde, schlafmodulierende und stark antioxidative Eigenschaften. Es wird auch gegen die Symptome eines Jetlags eingesetzt. Zu den möglichen unerwünschten Wirkungen gehören Müdigkeit und Schläfrigkeit. Melatonin ist ein Substrat der CYP1A-Isoenzyme.synonym: Melatoninum, N-Acetyl-5-methoxytryptamin, Schlafhormon
ProdukteMelatonin ist in Form von Retardtabletten (Circadin®, Generika, Slenyto®) und Tabletten im Handel (Mellozzan®). Es wurde in der EU im Jahr 2007 und in der Schweiz erstmals im Jahr 2009 als verschreibungspflichtiges Arzneimittel zugelassen. Slenyto® wurde in der Schweiz im Jahr 2019 registriert. Die Mellozzan®-Tabletten (Zulassung 2024) setzen den Wirkstoff sofort frei (Immediate-Release).
In einigen Ländern – zum Beispiel in den USA, in Kanada und in Deutschland – sind frei verkäufliche „Nahrungsergänzungsmittel“ mit Melatonin erhältlich, zum Beispiel auch als Melatonin-Gummies. Melatonin ist als Hormon aus unserer Sicht jedoch als Medikament einzustufen.

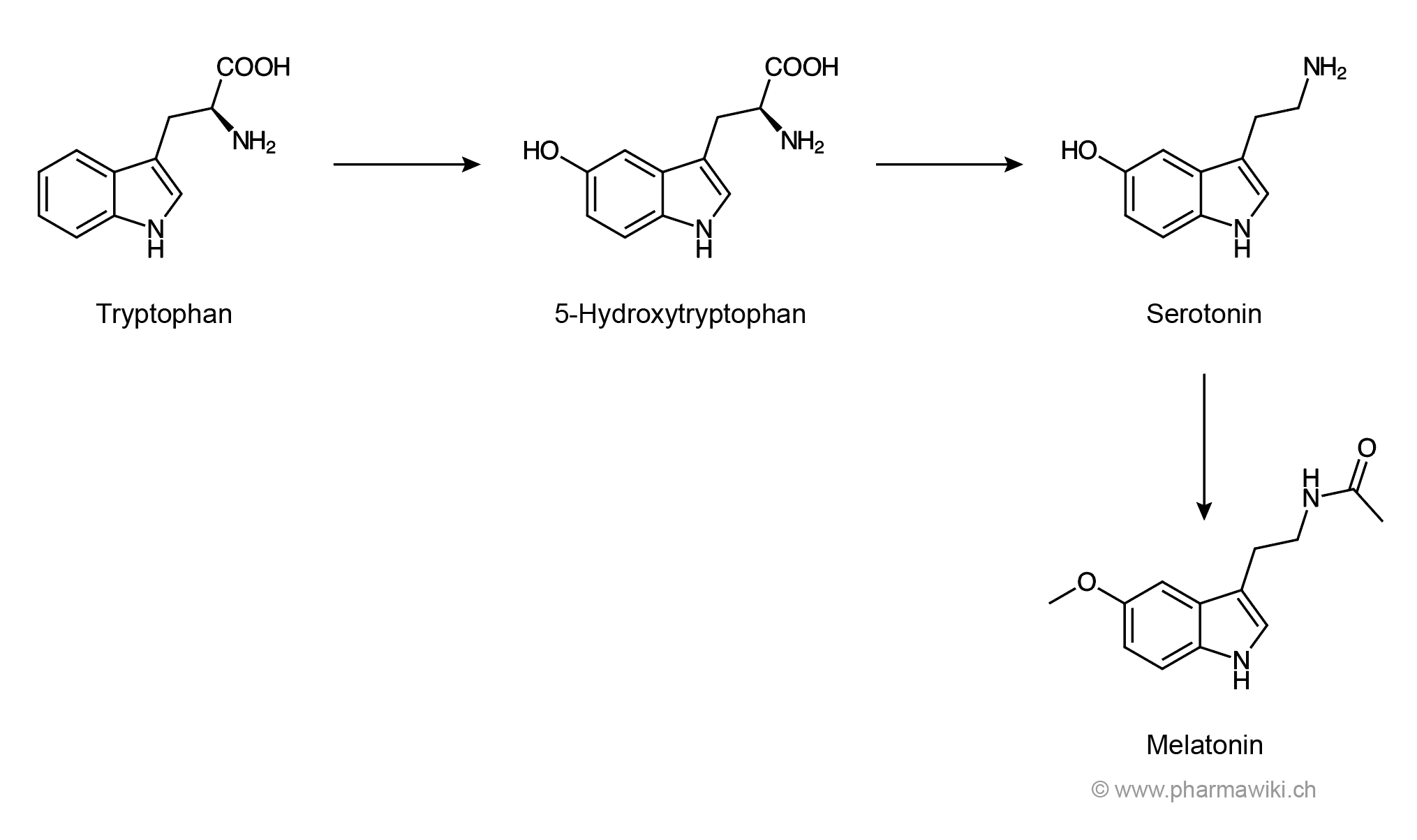
Melatonin (C13H16N2O2, Mr = 232.3 g/mol) wird in den Pinealozyten der Zirbeldrüse aus der Aminosäure Tryptophan und aus Serotonin gebildet: Tryptophan → Serotonin → N-Acetylserotonin → Melatonin. Chemisch handelt es sich um N-Acetyl-5-methoxytryptamin und ein Indolamin. Melatonin ist ein entwicklungsgeschichtlich altes Molekül, das nicht nur in Tieren, sondern auch in Bakterien, Algen und Pflanzen vorkommt.
Biosynthese von Melatonin aus Serotonin und Tryptophan, zum Vergrössern anklicken. Illustration © PharmaWiki
WirkungenMelatonin (ATC N05CH01
) hat schlaffördernde, schlafmodulierende und stark antioxidative Eigenschaften und reduziert die Körpertemperatur. Es handelt sich um ein natürliches Hormon, das von der Epiphyse (Zirbeldrüse) im Gehirn gebildet wird. Melatonin spielt eine zentrale Rolle bei der Steuerung des zirkadianen Rhythmus und der Synchronisation der inneren Uhr mit dem Tag-Nacht-Zyklus. Es hat verschiedene weitere Funktionen im Stoffwechsel.
Die Hormonausschüttung ist vom Licht abhängig und wird vom suprachiasmatischen Nucleus (SCN) reguliert, der „inneren Uhr“ des Menschen im Hypothalamus. Licht ist der wichtigste natürliche Gegenspieler des „Dunkelheitshormons“. Melatonin steht in einer Wechselwirkung mit der inneren Uhr und kann diese neu stellen.
Die Melatoninspiegel steigen nach dem Einbruch der Dunkelheit an und erreichen das Maximum gegen Mitte der Nacht. Anschliessend fallen sie langsam wieder ab. Die Effekte beruhen auf der Bindung an MT1- und MT2-Rezeptoren. Melatonin ist zusätzlich auch ein starkes Antioxidans.
Klinische Studien haben gezeigt, dass Melatonin gegen die Symptome eines Jetlags gut wirksam ist. Der Effekt ist bei Reisen in Richtung Osten und bei der Überquerung mehrerer Zeitzonen grösser.
Indikationen und AnwendungsgebieteCircadin® und Generika (Retardtabletten):
- Für die kurzzeitige Behandlung der primären, durch schlechte Schlafqualität gekennzeichneten Insomnie bei Patientinnen und Patienten ab 55 Jahren.
Slenyto® (Retardtabletten):
- Für die Behandlung von Schlafstörungen (Insomnie) bei Kindern und Jugendlichen im Alter von 2 bis 18 Jahren mit Autismus-Spektrum-Störung (ASS) und/oder Smith-Magenis-Syndrom, wenn Schlafhygienemassnahmen unzureichend waren.
Mellozzan® (Sofort freisetzende Tabletten):
- Kurzzeitbehandlung der zirkadianen Schlaf-Wach-Rhythmusstörung vom Typ Jetlag bei Erwachsenen.
- Insomnie bei Kindern und Jugendlichen im Alter von 6 bis 17 Jahren mit Aufmerksamkeitsdefizit-/Hyperaktivitätsstörung (ADHS), wenn Schlafhygienemassnahmen unzureichend waren.
Weitere mögliche Anwendungsgebiete von Melatonin, für die in der Schweiz keine Zulassung vorliegt:
- Schichtarbeit
- Winterdepression (saisonal-affektive Störung), Depressionen, siehe unter Agomelatin
- Andere Störungen des zirkadianen Rhythmus
Gemäss der Fachinformation. Die Anwendung ist vom Produkt abhängig.
Kontraindikationen- Überempfindlichkeit
Das Arzneimittel ist mit Vorsicht anzuwenden, wenn die Auswirkungen von Schläfrigkeit ein Sicherheitsrisiko darstellen könnten.
Die vollständigen Vorsichtsmassnahmen finden sich in der Arzneimittel-Fachinformation.
InteraktionenMelatonin ist ein Substrat von CYP1A und CYP2C19 und es sind entsprechende Wechselwirkungen möglich, beispielsweise mit Fluvoxamin, einem starken CYP1A-Hemmer. Weitere Interaktionen wurden mit Alkohol und zentral dämpfenden Arzneimitteln beschrieben.
Unerwünschte WirkungenMelatonin kann müde und schläfrig machen. Zu den häufigsten möglichen unerwünschten Wirkungen bei der Einnahme von Circadin® gehören Kopfschmerzen, eine Nasopharyngitis, Rückenschmerzen und Gelenkschmerzen.
siehe auchMelatonin-Rezeptor-Agonisten, Jetlag, Lifestyle-Medikamente, Tryptophan, Melatonin-Gummies
Literatur- Arendt J. Jet-lag and shift work (2): Therapeutic use of melatonin. J R Soc Med, 1999, 92(8), 402-5 Pubmed

- Arzneimittel-Fachinformation (CH, EMA)
- Emet M., Ozcan H., Ozel L., Yayla M., Halici Z., Hacimuftuoglu A. A Review of Melatonin, Its Receptors and Drugs. Eurasian J Med, 2016, 48(2), 135-41 Pubmed

- Fischer T.W. Melatonin increases anagen hair rate in women with androgenetic alopecia or diffuse alopecia: results of a pilot randomized controlled trial. Br J Dermatol. 2004, 150(2), 341-5 Pubmed

- Herxheimer A., Petrie K.J. Melatonin for the prevention and treatment of jet lag. Cochrane Database Syst Rev, 2002, (2), CD001520 Pubmed

- Srinivasan V. et al. Jet lag: therapeutic use of melatonin and possible application of melatonin analogs. Travel Med Infect Dis. 2008, 6(1-2), 17-28 Pubmed

- Suhner A.G. Melatonin and Jet-Lag. Dissertation Eidgenössische Technische Hochschule Zürich, 1998
- Smucny J. Can melatonin prevent or treat jet lag? Am Fam Physician. 2002, 66(11), 2087-8 Pubmed

Interessenkonflikte: Keine / unabhängig. Der Autor hat keine Beziehungen zu den Herstellern und ist nicht am Verkauf der erwähnten Produkte beteiligt.
Weitere Informationen
