Tyrothricin
Arzneimittelgruppen
Antibiotika
Polypeptid-AntibiotikaTyrothricin ist ein Wirkstoff aus der Gruppe der Polypeptid-Antibiotika, der vorwiegend in Kombination mit Lokalanästhetika und Desinfektionsmitteln zur lokalen Behandlung von Entzündungen des Mund- und Rachenraums eingesetzt wird. Es wird häufig in Form von Lutschtabletten bei Halsschmerzen verarbeicht. Die bakteriziden Effekte gegen grampositive Bakterien beruhen auf einer Störung der Zellmembran und ihrer Permeabilität. Zu den möglichen unerwünschten Wirkungen gehören lokale und allergische Reaktionen. synonym: Tyrothricinum PhEur
ProdukteTyrothricin ist in Kombination mit Desinfektionsmitteln und Lokalanästhetika in Form von Lutschtabletten, Mundsprays und als Spüllösung im Handel.
Das Antibiotikum wurde Ende der 1930er-Jahre von René J. Dubos in New York am Rockefeller Institute for Medical Research entdeckt.
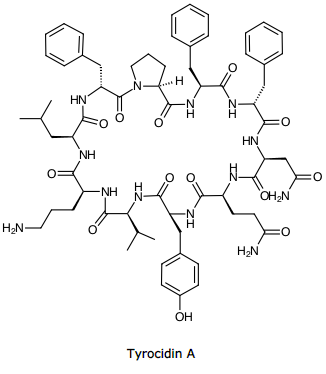
Struktur und EigenschaftenTyrothricin ist ein Gemisch aus antimikrobiell wirksamen, linearen und zyklischen Polypeptiden, die aus dem Fermentationsmedium von Bacillus brevis Dubos isoliert werden.
Das Gemisch besteht hauptsächlich aus Gramicidinen und Tyrocidinen. Verwandte Bestandteile können in kleineren Anteilen vorhanden sein. Die Abbildung zeigt Tyrocidin A. Tyrothricin liegt als weisses Pulver vor, das in Wasser praktisch unlöslich ist.

Tyrothricin (ATC D06AX08
) hat bakterizide Eigenschaften gegen grampositive Bakterien. Es wirkt lokal und wird im Verdauungstrakt nicht absorbiert. Die Effekte beruhen auf einer Störung der Zellmembran und ihrer Permeabilität. Die Gramicidine bilden kationenleitende Ionenkanäle in der Zellmembran.
Es ist zu beachten, dass Halsschmerzen häufig von Viren im Rahmen einer Erkältung verursacht werden. Ein Einsatz von Antibiotika zur Behandlung viraler Infekte ist nicht angezeigt. Eine Streptokokken-Angina wird mit systemischen Antibiotika behandelt. Die Verwendung topischer Antibiotika in Halswehlutschtabletten ist deshalb umstritten.
IndikationenIn Kombination mit anderen Wirkstoffen zur Behandlung von Entzündungen, Infektionen oder Schmerzen im Bereich der Mund- und Rachenschleimhaut, zum Beispiel bei Halsschmerzen.
DosierungGemäss der Fachinformation. Die Arzneimittel werden mehrmals täglich angewendet.
Kontraindikationen- Überempfindlichkeit
Die vollständigen Vorsichtsmassnahmen finden sich in der Arzneimittel-Fachinformation.
InteraktionenWechselwirkungen sind nicht bekannt.
Unerwüschte WirkungenZu den möglichen unerwünschten Wirkungen gehören lokale und allergische Reaktionen. Die Anwendung von Tyrothricin auf frischen Wunden kann zu Blutungen führen. Es darf nicht parenteral appliziert werden, weil es Leber- und Nierenschäden verursachen kann.
siehe auchHalsschmerzen, Polypeptid-Antibiotika, Gramicidin, Halswehlutschtabletten
Literatur- Arzneimittel-Fachinformation (CH, D, AT)
- Dubos R.J. Studies on a bactericidal agent extracted form a soil bacillus. J Exp Med, 1939, 70(1), 1-10 Pubmed

- Europäisches Arzneibuch PhEur
- Mannanov R.N., Sattarova R.K. Antibiotics Produced by Bacillus Bacteria. Chemistry of Natural Compounds, 2001, 37(2), 117-123
- Reynolds J. (Hrsg.) Martindale. The Extra Pharmacopoeia. London: The Pharmaceutical Press, 1989
- Robinson H.J., Molitor H. Some toxicological and pharmacological properties of gramicidin, tyrocidine and tyrothricin. JPET, 1942, 74(1), 75-82
- Seydell E.M., McKnight W.P. Disturbances of olfaction resulting from intranasal use of tyrothricin; a clinical report of seven cases. Arch Otolaryngol, 1948, 47(4), 465-70 Pubmed

- Stokes J.L., Woodward C.R. Formation of Tyrothricin in Submerged Cultures of Bacillus Brevis. J Bacteriol, 1943, 46(1), 83-8 Pubmed

Interessenkonflikte: Keine / unabhängig. Der Autor hat keine Beziehungen zu den Herstellern und ist nicht am Verkauf der erwähnten Produkte beteiligt.
Weitere Informationen